30+ Subordination Agreement

Section 510(b) addresses mandatory, or "statutory," This subordination agreement shall be binding upon the successors and assigns of the subordinating lender. A subordination agreement can limit the extent of subordination, for example to a limited dollar amount, for a certain period of time or while other conditions exist, and can contain some of the more complex provisions of an intercreditor agreement, as discussed below. The part of your mortgage agreement that documents this process is the subordination clause. subordination, nondisturbance and attornment agreement notice:

Let's back up a bit because we have a vocab term within a vocab definition. Free Subordinated Loan Agreement Free To Print Save Download
Free Subordinated Loan Agreement Free To Print Save Download from www.rocketlawyer.com
A subordination is a process where the second lender asks the first lender if they will "let go" Let's back up a bit because we have a vocab term within a vocab definition. A subordination agreement need not be written into the original contract, as the parties may construct a separate subordination agreement to amend the contract, in the event circumstances change, new parties are added, or in a number of other situations. The subordination agreement may be modified in order to comply with the requirements of the governmental program providing such secondary financing, subject to approval by the multifamily development field staff and hud closing attorney. Payoff statements of all senior lien(s) ahead of sba on collateral being subordinated. What is a subordination clause in a mortgage? Mortgage lenders are concerned about subordination agreements when a lease is, or could be, recorded in the county records. This subordination agreement results in the leasehold estate in the property becoming subject to and of lower priority than the lien of some other or later security instrument.

A subordination agreement is generally used when a lender loans money.

Lenders require subordination agreements to ensure they will get the money back even if the borrower declares bankruptcy. Section 510(b) addresses mandatory, or "statutory," Submission of insurance policy's declaration page(s) as proof of hazard insurance and flood insurance on property to be subordinated, showing sba as mortgagee. This lien subordination agreement ("agreement"), made and entered into this 10th day of december, 1996, by and between court square capital limited (f/k/a citicorp capital investors ltd.), a delaware corporation ("subordinating creditor"); What is a subordination clause in a mortgage? It is a condition precedent to the obligation of the senior lender to continue to extend credit accommodations to the company pursuant to the financing agreement that creditor and the company execute and deliver this subordination agreement to the senior lender. Or, if you are a junior creditor who wants to tempt a senior creditor into lending to a certain borrower, a subordinated loan agreement could help, for example, by promising them first dibs on repayments. Of course, in many situations, the mortgage will already be superior, depending on when the mortgage was recorded and when the lease was recorded or the tenant took possession of the property. (month/day/year) for valuable consideration, the undersigned hereby subordinates the lien on real property in county, minnesota, legally described as follows: subordination agreement by business entity minnesota uniform conveyancing blanks form 20.8.2 (2011) date: Mortgage lenders are concerned about subordination agreements when a lease is, or could be, recorded in the county records. Of a particular class of collateral. Zwim special opportunities fund, l.p., a delaware limited partnership (the "subordinated creditor"), and echo bridge entertainment, llc, a delaware limited liability company (the

$650 per year in u.s., canada, and mexico; This subordination agreement results in the leasehold estate in the property becoming subject to and of lower priority than the lien of some other or later security instrument. T hat a greement provides that foreclosures, sales, or other transactions to recover the amounts secured by those liens will not remove the avigation easement from the title of the property. Now, therefore, said subordinating lender, for a valuable consideration to it in hand paid, does hereby contract subordination agreement must be specific as to the particular transaction:

The agreement basically says that if the building goes bankrupt and the lender takes control of the building from the landlord, the lender will honor your lease. Subordination Agreement
Subordination Agreement from www.startingbusiness.com
The addition of a separate subordination agreement must be made in writing, and signed by. subordination agreements, which change the otherwise chronological priority of liens on a property, are often necessary when a borrower is obtaining financing and entering into a loan agreement. subordination, nondisturbance and attornment agreement notice: Zwim special opportunities fund, l.p., a delaware limited partnership (the "subordinated creditor"), and echo bridge entertainment, llc, a delaware limited liability company (the 1 and are common in the factoring industry, as well as the secured financing world at large. subordination agreement (request form) will assist you in determining whether a prorated portion of the grant is due, the retention document should be released, or fhlbank will subordinate the refinanced mortgage. subordination agreement must be specific as to the particular transaction: subordination intercreditor agreements on an expedited basis with little time for negotiation.

Our real estate attorneys have the.

These are current assets that can be used to secure a working capital line of credit. This subordination agreement made as of the day of , , by name of original lender, having an address of ("subordinator"), and name of new lender, a corporation organized and existing under the laws of the state of with its principal place of business at ("lender"). Compared to many other areas in the secured transactions arena, there is relatively little reported litigation involving disputes in respect to subordination. The first or the most common is when dealing with mortgages while the second one is during a lease for tenants and landlords. A subordination agreement is a legal document that establishes one debt or claim as ranking behind another in priority for repayment. The subordination agreement shall effectively subordinate any right of the lender to receive any payment with respect thereto, together with accrued interest or compensation, to the prior payment or provision for payment in full of all claims of all present and future creditors of the broker or dealer arising out of any matter occurring prior. Of course, in many situations, the mortgage will already be superior, depending on when the mortgage was recorded and when the lease was recorded or the tenant took possession of the property. T hat a greement provides that foreclosures, sales, or other transactions to recover the amounts secured by those liens will not remove the avigation easement from the title of the property. agreement, the parties hereby agree and acknowledge that the proceeds of the bank loan and the khc loan shall be disbursed as follows: The most common subordination agreements take place with accounts receivable and inventory. Section 510(a) makes a valid contractual subordination agreement enforceable in a bankruptcy case to the same extent that it would be enforceable outside bankruptcy. A subordination agreement is a legal contract used to prioritize one debt—known as senior debt—over another—junior debt. A subordination agreement form is a document that can be used for two purposes and intentions.

The first or the most common is when dealing with mortgages while the second one is during a lease for tenants and landlords. T hat a greement provides that foreclosures, sales, or other transactions to recover the amounts secured by those liens will not remove the avigation easement from the title of the property. Trust or mortgage records of the _____ of _____ county, _____, _____ (the "first deed of trust or mortgage"); The new inventory, if the subordination is granted. The mortgage held by lienholder shall be subject and subordinate to the declaration.

A subordination agreement will be required in order to convey the avigation easement if there is a mortgage, deed of trust, or other lien on the property. Https Elstico Com Uploads Nj Forms 6781062b9f2d8ef26cec4067e9e75732 Pdf
Https Elstico Com Uploads Nj Forms 6781062b9f2d8ef26cec4067e9e75732 Pdf from
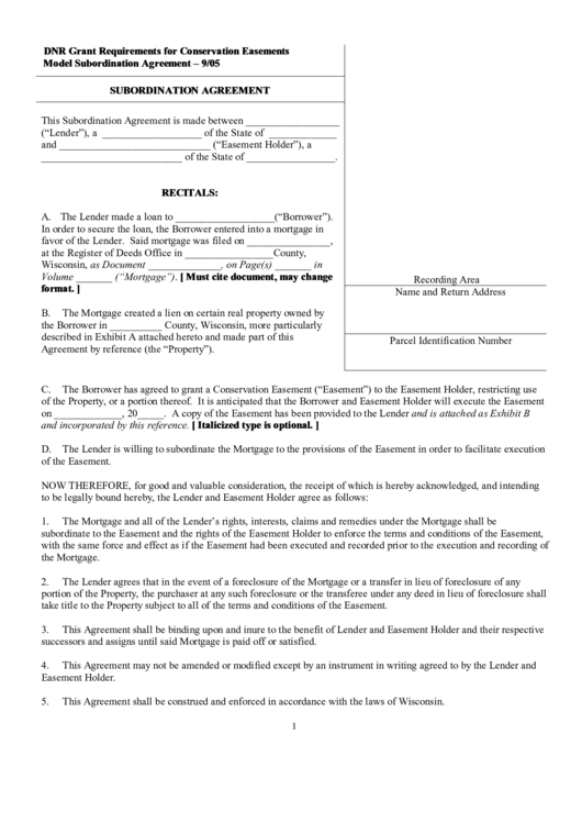
Of a particular class of collateral. Zwim special opportunities fund, l.p., a delaware limited partnership (the "subordinated creditor"), and echo bridge entertainment, llc, a delaware limited liability company (the subordination intercreditor agreements on an expedited basis with little time for negotiation. Whereas, pursuant to that certain factoring. _____ name of subordinating lender This agreement shall be governed by the laws of the state of _____________. A subordination agreement need not be written into the original contract, as the parties may construct a separate subordination agreement to amend the contract, in the event circumstances change, new parties are added, or in a number of other situations. The lender made a loan to ("borrower").

The subordination agreement may be modified in order to comply with the requirements of the governmental program providing such secondary financing, subject to approval by the multifamily development field staff and hud closing attorney.

(month/day/year) for valuable consideration, the undersigned hereby subordinates the lien on real property in county, minnesota, legally described as follows: It is a condition precedent to the obligation of the senior lender to continue to extend credit accommodations to the company pursuant to the financing agreement that creditor and the company execute and deliver this subordination agreement to the senior lender. Fidelity national title last modified by: _____ name of subordinating lender Zwim special opportunities fund, l.p., a delaware limited partnership (the "subordinated creditor"), and echo bridge entertainment, llc, a delaware limited liability company (the 1 and are common in the factoring industry, as well as the secured financing world at large. This agreement shall be governed by the laws of the state of _____________. In witness whereof, the parties hereto have executed this agreement as of the day and year first above written. This subordination agreement shall be binding upon the successors and assigns of the subordinating lender. _____ name of subordinating lender The priority of debt repayment can become very important if a company or individual defaults on their debt repayment obligations and declares bankruptcy. This means that, if the debt is unpaid and the assets of the debtor are sold to paid the debt, the debt with a higher priority is paid first. The agreement basically says that if the building goes bankrupt and the lender takes control of the building from the landlord, the lender will honor your lease.

30+ Subordination Agreement. T hat a greement provides that foreclosures, sales, or other transactions to recover the amounts secured by those liens will not remove the avigation easement from the title of the property. subordination agreement (request form) will assist you in determining whether a prorated portion of the grant is due, the retention document should be released, or fhlbank will subordinate the refinanced mortgage. Return by mail to title: A subordination agreement can limit the extent of subordination, for example to a limited dollar amount, for a certain period of time or while other conditions exist, and can contain some of the more complex provisions of an intercreditor agreement, as discussed below. Lenders require subordination agreements to ensure they will get the money back even if the borrower declares bankruptcy.


0 Response to "30+ Subordination Agreement"

Post a Comment

Iklan Atas Artikel

Iklan Tengah Artikel 1

Iklan Tengah Artikel 2

Iklan Bawah Artikel